Entry certification (new light vehicles)

News and updates

Introduction

1 Purpose and Scope

The NZ Transport Agency Waka Kotahi (NZTA) has prepared this manual to enhance the safety of new vehicles entering New Zealand.

The scope of this manual is the statutory requirements for the entry inspection and certification of new light motor vehicles. It conveys to vehicle inspectors and inspecting organisations for new light vehicles appointed by the NZTA (normally the vehicle manufacturer’s New Zealand representative) the conditions of their appointment and the requirements for the inspection and certification of new light vehicles for entry into service. This manual will assist them to achieve correct and consistent standards of inspection and certification.

This manual sets out what the requirements are for passing or failing a vehicle. No attempt has been made to provide details on how a vehicle is to be inspected, a matter best addressed by training programmes.

Amendments to this manual will be issued from time to time as inspection and certification requirements change and improvements are made. Suggestions for improvement should be made using the feedback button found on each page of the manual.

The following diagram shows the role of this manual in relation to the certification process and to other relevant manuals. This is an example process only, and the order of the elements may vary in individual instances.

2 Overview of the manual

The manual is structured into six main parts:

Introduction

This explains the duties and responsibilities of the inspecting organisation and vehicle inspector, the inspection and certification process, complaints procedures, inspection premises and equipment, and the appointment of vehicle inspectors and inspecting organisations. It also includes definitions and abbreviations, sample certification documents, an improvement suggestion form and a form for recording amendments. The introduction is relevant to all new light vehicles requiring entry inspection and certification.

1. Vehicle identification
2. Standards compliance

The bulk of the content of this section is included in Tables of vehicle class standards requirements and Lists of approved standards. That is, vehicle of group L or class MA, MB, MC, MD1 or NA must comply with approved standards as specified in Tables of vehicle class standards requirements and Lists of approved standards.

Illustrations and tables are added to assist in the identification of standards.

3. Pre-delivery inspection
4. Warrant of fitness (WoF) inspection

The pages at the beginning of sections 1-4 are divided into two columns:

Summary of legislation

summarises the legislation that relates to the reasons for rejection.

Reasons for rejection

specifies the reasons that must result in the vehicle being rejected for entry certification. The NZ Transport Agency has imposed these requirements in accordance with the Land Transport Rule: Vehicle Standards Compliance 2002, subclause 2.3(1).

5. Technical bulletins

These provide extended explanatory material relating to specific items, referenced in this manual.

3 The inspection and certification process

3.1 Duties and responsibilities

3.1.1 General duties and responsibilities

Applicable legislation:
Land Transport Rule: Vehicle Standards Compliance 2002 (Rule 35001/1).

1. Vehicle inspectors and inspecting organisations (definitions in the Rule)

Vehicle inspector means an individual appointed by NZTA under subclause 2.2(1) of the Rule to carry out inspection and certification activities in accordance with requirements and conditions imposed by the NZTA.

Inspecting organisation means a person or organisation appointed by the NZTA under subclause 2.2(1) of the Rule who is responsible for inspection and certification outcomes.

In this manual, an inspecting organisation is one appointed for the purpose of new light vehicle entry inspection and certification, unless stated otherwise.

To avoid doubt, any reference to a certifier in any legislation, deed of appointment, the Low Volume Vehicle Code or any other relevant document is a reference to a vehicle inspector or inspecting organisation (as applicable) appointed by the NZTA under the Rule.

2. Inspection and certification activities (subclause 2.1(1) of the Rule)

Only vehicle inspectors and inspecting organisations appointed by the NZTA may carry out inspection and certification activities as specified in the Rule and in this manual. The inspecting organisation’s Deed of Appointment specifies conditions under which a transfer of functions may be made.

3. Primary duty (subclause 2.1(2) of the Rule)

Vehicle inspectors and inspecting organisations must carry out inspection and certification activities competently and diligently and in accordance with the Rule and the requirements in this manual.

4. Inspection and certification activities that can be carried out (subclause 2.2(2) of the Rule)

Vehicle inspectors and inspecting organisations may carry out only those inspection and certification activities for which the NZTA has appointed them.

5. Requirements, conditions and period of appointment (subclause 2.3(1) of the Rule)

The NZTA may specify the period of appointment for a vehicle inspector and inspecting organisation and may impose requirements and conditions as to the performance of the inspection and certification activities, including the performance of those activities at individual sites.

6. Driver licence

Vehicle inspectors who operate vehicles as part of a vehicle inspection must hold a current driver licence for the class of vehicle that they are inspecting.

7. Fit and proper person (subclause 2.3(3) of the Rule)

It is a condition of an appointment that a vehicle inspector or inspecting organisation is, and continues to be, a fit and proper person.

8. Document retention, advise incorrect certification, advise vehicle defects (subclause 2.3(4) of the Rule)

It is a condition of an appointment that a vehicle inspector or inspecting organisation:

a) keep the original Statements of Compliance (Annex A forms) for at least five years

b) keep the following documents in a retrievable form for the specified term:

  • Pre-delivery inspection checksheets (one year)
  • WoF checksheets (one year)
  • Specialist certifiers’ certificates (such as repair and low volume) (five years)

c) advise the NZTA as soon as practicable if there is a reason to believe that the inspection and certification of a vehicle has been carried out incorrectly, and

d) advise the NZTA as soon as practicable of a defect in a manufacturer’s production run or quality control process of which the inspector or organisation has become aware that may affect the safety performance of a vehicle that has been inspected and certified. (Industry is working with the NZTA to prepare a form for reporting such instances to the NZTA).

9. Delegation (subclause 2.4(1) of the Rule)

A vehicle inspector or inspecting organisation may not delegate any function or power to carry out inspection and certification activities for which they were appointed, except under conditions specified in the inspecting organisation’s Deed of Appointment or otherwise specified by the NZTA in writing.

3.1.2 Inspection and certification
1. Inspecting and certifying a vehicle for entry into service (subclause 6.3(2) of the Rule)

The inspection and certification of a vehicle for entry into service must be carried out in accordance with requirements and conditions imposed by the NZTA.

2. Determining compliance of a vehicle (subclause 6.4(1) of the Rule)

A vehicle may be certified for entry into service only if a vehicle inspector or inspecting organisation has identified the vehicle and has determined, on reasonable grounds, that the vehicle:

a) is safe to be operated, and

b) has been designed and constructed using components and materials that are fit for their purpose, and is within safe tolerance of its state when it was manufactured or modified, and

c) complies with the applicable requirements (all of which are contained or referred to within this manual, and

d) has not suffered water damage as specified by the NZTA (see paragraph 4 below), and

e) has undergone specialist inspection and certification as required by paragraphs 5 to 9 below and that the specific aspects of the vehicle have been certified.

3. Information to take into account when determining compliance of a vehicle (subclause 6.4(3) of the Rule)

A vehicle inspector or inspecting organisation, in making a determination, must take into account:

a) information obtained from inspecting the vehicle and associated documents, and

b) additional relevant information, if any, about the vehicle issued by a manufacturer, modifier, repairer or other relevant person of which the inspector or organisation is aware.

4. Water-damaged vehicles (clause 11.1 of the Rule)

The NZTA may, in the New Zealand Gazette, specify the extent of water damage that makes it impractical to determine by way of an inspection whether a water-damaged vehicle is safe to be operated. A vehicle having sustained water damage to the extent specified by the NZTA – whether that damage has been repaired or not – cannot be certified for entry into service in New Zealand.

5. Light vehicle repair specialist inspection and certification (subclause 6.5(1)(a) of the Rule)

Light vehicle repair specialist inspection and certification is required if a vehicle has been repaired because of, or following, significant damage or deterioration to its structure, chassis, body-to-chassis attachment, suspension or occupant protection system. See the current version of Threshold for requiring repair certification.

6. Alternative fuel system inspection and certification (subclause 6.5(1)(b) of the Rule)

Alternative fuel system inspection and certification is required if a vehicle is fitted with an alternative fuel system that is in working order.

7. Low volume vehicle specialist inspection and certification (subclause 6.5(1)(c) of the Rule)

Low volume vehicle specialist inspection and certification may be required if a vehicle is a light vehicle that, since it was manufactured, or last certified for entry, or last certified as a low volume vehicle, has been modified so as to affect its compliance with an applicable requirement.

8. Other specialist certification (subclause 6.5(1)(e) of the Rule)

Other specialist inspection and certification may be required in accordance with an applicable requirement, or as required by the NZTA.

9. Modified vehicles not requiring specialist certification (subclause 6.5(3) of the Rule)

Low volume vehicle specialist inspection and certification is not required if a modified vehicle:

a) has been inspected by a vehicle inspector or inspecting organisation appointed for the purposes of entry inspection and certification in accordance with this manual and the VIRM: In-service certification and the inspector or organisation is satisfied, on reasonable grounds, that the risk of injury to any person has been minimised, or

b) was modified for the purposes of law enforcement or the provision of emergency services, that is, equipped for the attendance of fires or for ambulance duty, or is a police vehicle.

3.1.3 Performance review
1. NZ Transport Agency may monitor and review performance (subclause 3.1(1) of the Rule)

The NZTA may monitor and review the performance of a vehicle inspector or inspecting organisation in complying with the requirements and conditions imposed by the NZTA, including the performance of inspection and certification activities at individual sites.

2. Providing information to NZ Transport Agency (subclause 3.1(2) and (3) of the Rule)

In monitoring and reviewing performance, the NZTA may require a vehicle inspector or inspecting organisation to undergo such monitoring and review, and provide such information as the NZTA reasonably considers relevant. A vehicle inspector or inspecting organisation must comply with a requirement from the NZTA.

3. Costs of monitoring and review (subclause 3.1(4) of the Rule)

A vehicle inspector or inspecting organisation must bear the costs of the monitoring and reviewing of their performance in accordance with any prescribed fee.

3.1.4 Investigations
1. Investigations (subclause 3.2(1) of the Rule)

If the NZTA has reason to believe that a vehicle inspector or inspecting organisation has failed to comply with any of the conditions of their appointment, or has failed to comply with the Land Transport Rule: Vehicle Standards Compliance 2002, the NZTA may require the inspector or organisation to undergo such an investigation and to provide such information as the NZTA reasonably considers appropriate.

2. Notification of action (other than immediate suspension/imposition of conditions) (subclause 3.2(3) of the Rule)

Following an investigation and before carrying out action, the NZTA must notify the vehicle inspector or inspecting organisation in writing of:

a) the action that is being considered, and

b) the reasons for the action that is being considered, and

c) the date by which submissions may be made to the NZTA in respect of the action that is being considered, which must be at least 21 days after the notice was given, and

d) where appropriate, the date on which the action that is being considered will take effect, which, unless the NZTA determines otherwise, must be at least 28 days after the notice was given.

3. Responding to a notification of action (subclause 3.2(5) of the Rule)

If a vehicle inspector or inspecting organisation is notified as above, they must ensure that all information that they wish the NZTA to consider in relation to the action that is being considered is received by the NZTA within the period specified in the notice or within any further period that the NZTA may allow.

4. NZ Transport Agency must consider submissions (subclause 3.2(6) of the Rule)

The NZ Transport Agency must consider the submissions made and information supplied, and must:

a) decide whether or not to take the action that is being considered, and

b) provide written notification as soon as is practicable to the vehicle inspector or inspecting organisation of:

i. the NZTA’s decision, and

ii. if appropriate, the date on which the action is to take effect, and

iii. if appropriate, the right of appeal under section 106 of the Land Transport Act 1998.

5. Immediate suspension or imposing of conditions (subclause 3.3(1) of the Rule)

If the NZTA has reason to believe that a vehicle inspector or inspecting organisation has failed to comply with a condition of their appointment or with the Land Transport Rule: Vehicle Standards Compliance 2002, and that this presents a significant risk to land transport safety, the NZTA may suspend, with immediate effect, the whole or any part of the appointment, or impose any conditions on the appointment.

6. Notification of immediate suspension or imposition of conditions (subclause 3.3(2) of the Rule)

Where the NZTA suspends the whole or any part of an appointment, or imposes conditions on the appointment, the NZTA must notify the vehicle inspector or inspecting organisation in writing of:

a) the grounds for the suspension or imposition of conditions

b) the fact that the inspector or organisation may make submissions to the NZTA

c) the right of appeal under section 106 of the Land Transport Act 1998.

7. NZ Transport Agency must consider submissions following immediate suspension or imposition of conditions (subclause 3.3(3) of the Rule)

The NZ Transport Agency must, as soon as practicable, consider any submission made and notify the inspector or inspecting organisation in writing of the result of any such consideration.

8. Duration of immediate suspension or imposition of conditions (subclause 3.3(5) of the Rule)

A suspension or condition imposed remains in force until the NZTA has determined the action to be taken and that action has been taken.

9. Withdrawal of immediate suspension or imposition of conditions (subclause 3.3(4) of the Rule)

The NZ Transport Agency may at any time withdraw a suspension or an imposed condition.

10. Right of appeal (subclause 3.3(6) of the Rule)

A vehicle inspector or inspecting organisation may appeal under section 106 of the Land Transport Act 1998 against a decision by the NZTA to immediately suspend or impose conditions.

11. Costs of investigations (subclause 3.2(7) of the Rule)

The NZ Transport Agency may require a vehicle inspector or inspecting organisation to bear the costs associated with an investigation or remedial action in accordance with any prescribed fee.

12. Remedial action, suspension, revocation (subclause 3.2(2) of the Rule)

If, following an investigation, the NZTA is satisfied that the vehicle inspector or inspecting organisation has failed to comply with any of the conditions of their appointment, or failed to comply with the Land Transport Rule: Vehicle Standards Compliance 2002, the NZTA may do one or more of the following:

a) require that remedial action, such as training, be undertaken by the inspector or organisation

b) suspend the whole or any part of the appointment of the inspector or organisation for a specified period or until specified conditions are met

c) revoke the whole or any part of the appointment of the inspector or organisation.

13. Obligation to comply (subclause 3.2(8) of the Rule)

A vehicle inspector or inspecting organisation must comply with a requirement of the NZTA in relation to paragraphs 1, 11 and 12.

3.2 Identifying the vehicle class

Table 3-2-1 defines the vehicle classes specified in transport legislation such as Land Transport Rules and the Transport (Vehicle Standards) Regulations 1990.

A vehicle inspector or inspecting organisation can inspect and certify vehicles for entry into service only if these belong to the classes for which they have been appointed by the NZTA.

3.3 Establishing whether a vehicle requires inspection and certification for entry into service

All motor vehicles require inspection and certification for entry into service, except the following:

  • vehicles of class AB, TA or TB
  • armoured vehicles used exclusively as equipment of the New Zealand Defence Force
  • traction engines
  • mechanically propelled rollers
  • tractors and machines, including trailers, for use solely in agricultural, land management or roading operations, whether for traction or otherwise
  • vehicles registered for use on a road in a country other than New Zealand that are not going to be in New Zealand for a continuous period of more than 18 months
  • vehicles listed below:

a) pedestrian-controlled goods service vehicles

b) vehicles propelled and supported solely by self-laying tracks

c) vehicles used on roads only in road construction zones in accordance with notices declaring those zones

d) vehicles that are used on a road only when crossing or proceeding along a section of the road where the vehicles have been authorised to operate by an authorisation of a road controlling authority that requires:

i. a written agreement by the vehicle’s operator or the person for whom the vehicle is being operated, to construct, reconstruct, maintain, or restore to the satisfaction of the road controlling authority all or part of the road used by the vehicle, and

ii. the erection and maintenance of warning devices, signs or control devices as required by the road controlling authority and the NZTA, and

iii. where the use of the road does not consist solely of the direct crossing of the road, the prior approval of the NZTA

e) all-terrain vehicles that are used on a public highway

f) motor vehicles exclusively designed and used on a road for driving, carrying or propelling any of the following, which must be permanently attached to the vehicle:

i. aerodrome runway sweepers

ii. electrical substations

iii. filters for transformer oil

iv. log haulers that are stationary when hauling logs

v. aero engine test benches

g) tractors owned by a local authority and used exclusively for the construction, maintenance or mowing of stopbanks and the banks of rivers, streams, drains, canals or other watercourses

h) mobile or movable huts, galleys or similar motor vehicles that are used on a road solely in connection with the construction or maintenance of roads

i) tractors used exclusively for shunting railway rolling stock.

j) traction engines

k) forklifts

l) aerodrome crash fire tenders that are used on a road only in emergencies

m) trailers while being drawn by a motor vehicle specified in (m) to (s) of this schedule

n) motor vehicles, used exclusively in connection with the embarking and disembarking of ships’ passengers or for loading and unloading ships’ mails, cargo, and passengers’ baggage, and used on a public highway only when proceeding unladen from one wharf to another wharf or from its usual place of storage to a wharf and returning to that place of storage

o) motor vehicles designed exclusively or principally as part of the armament of the New Zealand Defence Force

p) cable jinkers

q) front-end loaders

r) log skidders

s) tractor cranes

t) rough-terrain cranes

u) mobile crushing and screening plant machines, which are mounted on trailers

v) motor graders

w) motor scrapers

x) trailer scrapers

y) plant for servicing oil-filled cables

z) post debarkers

aa) saw bench apparatus

bb) forestry chippers

cc) tree feller bunchers

dd) trench diggers and excavators

ee) vehicles that are always used unladen on the road and that are designed exclusively for carrying earth or other bulk materials

ff) mobile concrete mixers that are mounted on tractors

gg) a vehicle that is similar in design, construction or purpose to a vehicle listed above that cannot be categorised by vehicle class.

3.4 Establishing whether a vehicle may be inspected and certified for entry into service

A new light vehicle that requires inspection and certification for entry into service (see section 3.3) can be inspected and certified for entry into service only if:

1. the vehicle’s identity (by VIN or chassis number) can be, and has been, established without doubt

2. the VIN process has been completed – see LTSA Pre-registration procedures manual (new light vehicles).

3.5 Establishing whether a vehicle complies

To establish whether a vehicle complies:

1. Select the relevant sections in this manual that set out the requirements for the vehicle class and/or type.

2. Inspect the documentation that relates to the vehicle make, model (and sub-model) in order to determine whether the vehicle (and its components and systems) complies with approved standards as required by this manual (documentation may include a plate affixed to the vehicle).

3. Inspect the vehicle in order to determine whether the vehicle complies with the condition, performance, modification and repair requirements set out in this manual and the VIRM: In-service certification. Unless stated otherwise, equipment labelled ‘permitted’ must comply with legal requirements.

4. Where an inspecting organisation determines that a reason for rejection in either the VIRM: In-service certification or this manual applies to a vehicle, the inspecting organisation must reject the vehicle for certification for entry into service.

5. Where the inspecting organisation requires further information in order to determine compliance with a requirement, the inspecting organisation must reject the vehicle until the information has been obtained.

3.6 Inspection documentation

Applicable legislation:
Land Transport Rule: Vehicle Standards Compliance 2002, clause 2.3.

3.6.1 Statement of compliance

The inspecting organisation must specify the standards to which a vehicle or vehicle model comply.

3.6.2 Checksheets and outcomes
3.6.2.1 Pre-delivery inspection checksheet

The inspecting organisation must complete the pre-delivery inspection checksheet as specified by the vehicle manufacturer.

3.6.2.2 WoF checksheet

The inspecting organisation must complete an NZTA-approved WoF checksheet as specified in the VIRM: In-service certification. Checksheet specification and approval application forms are available from the Vehicles Unit of the NZTA. The checksheet must be completed legibly and in full.

3.6.2.3 Outcomes

An inspecting organisation can determine one of two outcomes:

a) Passed inspection: Record the determination and issue a WoF label as set out below.

b) Failed inspection: Record the determination as set out below. The reasons for the failed inspection must be clearly stated.

If requested, supply a copy of the checksheet to the vehicle owner.

3.6.3 LTSA4085

In cases where the LATIS system is not used, an LTSA4085(N) form is used. If, following the inspection of a vehicle and accompanying documentation, an inspecting organisation determines that the vehicle complies with all applicable requirements in this manual, the inspector must issue an LTSA4085(N) Vehicle Compliance Certificate. The inspector must complete the LTSA4085(N) form in every detail and sign it. In such cases a Transport Service Delivery Agent (TSDA) enters the details into the LTSA system.

3.7 Recording the inspection outcome (record of determination)

Applicable legislation: Land Transport Rule: Vehicle Standards Compliance 2002, clause 6.6.

The inspecting organisation:

  • records the inspection outcome (pre-delivery inspection and WoF) in the LATIS system, either directly or using Vehicle Inspection and Certification (VIC). The record of the inspection outcome in LATIS is the record of determination, and
  • enters the inspection outcome into the system before the vehicle leaves the premises of the inspecting organisation.

3.8 Issuing the WoF label (‘evidence of vehicle inspection’)

Applicable legislation: Land Transport Rule: Vehicle Standards Compliance 2002, clause 6.8 and section 9.

3.8.1 Expiry dates

Expiry date of the WoF

The WoF expiry date must be 12 months from the date of inspection for a vehicle that is less than six years from its date of manufacture.

3.8.2 Completing and affixing the WoF label

Completing the WoF label

Figure 1. Warrant of Fitness (WoF) label details

If the vehicle passes the WoF inspection, the new WoF label must be completed in the following manner:

a) Front side:

i. select the WoF label with the correct year of expiry of the WoF, and

ii. using a hole punch of at least 6mm diameter, punch out the appropriate number representing
the month of the WoF expiry date.

b) Reverse side:

i. record the name of the inspecting organisation (business stamp is acceptable), and

ii. vehicle registration number, and

iii. system authorisation number, and

iv. full expiry date of the WoF.

Each WoF label has a unique serial number printed on three places on the reverse side. The  serial number is provided for cross-referencing of the inspection documentation. The inspecting organisation must:

  • (for paper check sheets) remove both serial number stickers and attach one to the customer copy and one to the file copy
  • (for electronic check sheets) record the serial number on all copies.
Affixing the WoF label

The WoF label must be affixed by the inspecting organisation in the following position:

a) on the inside of the windscreen facing outwards on the same side as the steering wheel, and

b) as close as possible to the edge of the windscreen where it is clearly visible from the outside and is not obscured by an antiglare band.

Not more than one WoF label may be displayed at one time. When issuing a new WoF label, the inspecting organisation must remove the existing label.

3.9 Collecting fees

Applicable legislation:
Land Transport (Regulatory Fees) Regulations 2023

3.9.1 Application for inspection and certification of vehicles for entry into service

Any fee to be paid by an applicant for inspection and certification of a vehicle for entry into service is the amount fixed by the inspecting organisation that is reasonable, having regard to:

a) the time spent in inspecting the vehicle to ascertain whether it complies with the relevant requirements, and

b) any fees payable to the NZTA, and

c) any standard or usual rate at which the inspecting organisation imposes charges for other work carried out in respect of motor vehicles.

3.9.2 Duplicate evidence of vehicle inspection

The fee to be paid by the operator of a motor vehicle to an inspecting organisation for a duplicate of an evidence of vehicle inspection is $7.70.

The vehicle distributor must demonstrate that they have procedures for the handling of customer complaints. Complaints that relate directly to the safety of the vehicle must be investigated promptly and fully and the details recorded.

Franchise dealers must maintain an effective complaints management process in accordance with the NZTA Performance review system manual that:

1. recognises the positive value of complaints

2. encourages customers to direct any complaints about vehicle safety to the inspecting organisation in the first instance

3. gives clear and concise instructions to all customers on how to register a complaint

4. includes standards for resolution and the customer’s right to appeal to the NZTA if they are dissatisfied with the proposed resolution

5. keeps records of all complaints about vehicle safety

6. acknowledges in writing all written complaints and states a proposed date of resolution

7. retains documentation of an investigation into a complaint

8. provides directions for any customer who wishes to make a complaint or appeal a decision made by an inspecting organisation, to use the NZTA freephone 0800 699 000.

3.10 Motorsport, special interest and disability vehicles

Applies to:

  • Disability vehicles as defined in the Land Transport (Clean Vehicle Discount Scheme Charges) Regulations 2022
  • Special Interest vehicles (as defined in Part 2 of the Land Transport Rule: Frontal Impact 2001)
  • Motorsport vehicles (as defined in Land Transport Rule: Frontal Impact 2001)

<> These vehicles can not be flagged using the VINdirect system. If the vehicle was modified in New Zealand, disability vehicles will be flagged by the Low Volume Vehicle Technical Association (LVVTA). For anything else, contact frr@nzta.govt.nz

To be excluded from the Clean Vehicle Standard a vehicle must be inspected and approved as a disability before the pre-delivery inspection is passed.

Table 3-2-1. Vehicle equipment standards classifications
ClassDescription
AA (Pedal cycle)

A vehicle designed to be propelled through a mechanism solely by human power.

AB (Power-assisted pedal cycle)

A pedal cycle to which is attached one or more auxiliary propulsion motors having a combined maximum power output not exceeding 300 watts.

LA (Moped with two wheels)*

A motor vehicle (other than a power-assisted pedal cycle) that:

  • has two wheels; and
  • either:
    • has an engine cylinder capacity not exceeding 50ml and a maximum speed not exceeding 50km/h; or
    • has a power source other than a piston engine and a maximum speed not exceeding 50km/h.
LB (Moped with three wheels)

A motor vehicle (other than a power-assisted pedal cycle) that:

  • has three wheels; and
  • either:
    • has an engine cylinder capacity not exceeding 50ml and a maximum speed not exceeding 50km/h; or
    • has a power source other than a piston engine and a maximum speed not exceeding 50km/h.

An LB 1 motor vehicle has one wheel at the front and two wheels at the rear. An LB 2 motor vehicle has two wheels at the front and one wheel at the rear.

LC (Motorcycle)

A motor vehicle that:

  • has two wheels; and
  • either:
    • has an engine cylinder capacity exceeding 50ml; or
    • has a maximum speed exceeding 50km/h.
LD (Motorcycle and side-car)

A motor vehicle that:

  • has three wheels asymmetrically arranged in relation to the longitudinal median axis; and
  • either:
    • has an engine cylinder capacity exceeding 50ml; or
    • has a maximum speed exceeding 50km/h.
DEFINITION:
Side-car

A car, box or other receptacle attached to the side of a motorcycle and supported by a wheel.

LE (Motor tri-cycle)

A motor vehicle that:

  • has three wheels symmetrically arranged in relation to the longitudinal median axis; and
  • has a gross vehicle mass not exceeding one tonne; and
  • either:
    • has an engine cylinder capacity exceeding 50ml; or
    • has a maximum speed exceeding 50km/h.

An LE 1 motor vehicle has one wheel at the front and two wheels at the rear. An LE 2 motor vehicle has two wheels at the front and one wheel at the rear.

DEFINITION:
Passenger vehicle

A motor vehicle that:

  • is constructed primarily for the carriage of passengers; and
  • either:
    • has at least four wheels; or
    • has three wheels and a gross vehicle mass exceeding one tonne.
MA (Passenger car)

A passenger vehicle (other than a class MB or class MC vehicle) that has not more than nine seating positions (including the driver's seating position).

MB (Forward control passenger vehicle)

A passenger vehicle (other than a class MC vehicle):

  • that has not more than nine seating positions (including the driver's seating position); and
  • in which the centre of the steering wheel is in the forward quarter of the vehicle's total length.
MC (Off-road passenger vehicle)

A passenger vehicle, designed with special features for off-road operation, that has not more than nine seating positions (including the driver's seating position), and that:

  • has four-wheel drive; and
  • has at least four of the following characteristics when the vehicle is unladen on a level surface and the front wheels are parallel to the vehicle's longitudinal centre-line and the tyres are inflated to the vehicle manufacturer's recommended pressure:
    • an approach angle of not less than 28 degrees;
    • a breakover angle of not less than 14 degrees;
    • a departure angle of not less than 20 degrees;
    • a running clearance of not less than 200mm;
    • a front-axle clearance, rear-axle clearance or suspension clearance of not less than 175mm.
DEFINITION:
Omnibus

A passenger vehicle that has more than nine seating positions (including the driver's seating position). An omnibus comprising two or more non-separable but articulated units shall be considered as a single vehicle.

MD (Light omnibus)

An omnibus that has a gross vehicle mass not exceeding 5 tonnes.

MD 1

An omnibus that has a gross vehicle mass not exceeding 3.5 tonnes and not more than 12 seats.

MD 2

An omnibus that has a gross vehicle mass not exceeding 3.5 tonnes and more than 12 seats.

MD 3

An omnibus that has a gross vehicle mass exceeding 3.5 tonnes but not exceeding 4.5 tonnes.

MD 4

An omnibus that has a gross vehicle mass exceeding 4.5 tonnes but not exceeding 5 tonnes.

ME (Heavy omnibus)

An omnibus that has a gross vehicle mass exceeding 5 tonnes.

DEFINITION:
Goods vehicle

A motor vehicle that:

  • is constructed primarily for the carriage of goods; and
  • either:
    • has at least four wheels; or
    • has three wheels and a gross vehicle mass exceeding one tonne.

For the purpose of this description:

  • a vehicle that is constructed for both the carriage of goods and passengers shall be considered primarily for the carriage of goods if the number of seating positions multiplied by 68kg is less than 50 percent of the difference between the gross vehicle mass and the unladen mass
  • the equipment and installations carried on special purpose vehicles not designed for the carriage of passengers shall be considered to be goods
  • a goods vehicle that has two or more non-separable but articulated units shall be considered to be a single vehicle.
NA (Light goods vehicle)

A goods vehicle that has a gross vehicle mass not exceeding 3.5 tonnes.

NB (Medium goods vehicle)

A goods vehicle that has a gross vehicle mass exceeding 3.5 tonnes but not exceeding 12 tonnes.

NC (Heavy goods vehicle)

A goods vehicle that has a gross vehicle mass exceeding 12 tonnes.

DEFINITION:
Trailer

A vehicle without motive power that is constructed for the purpose of being drawn behind a motor vehicle.

TA (Very light trailer)

A single-axled trailer that has a gross vehicle mass not exceeding 0.75 tonnes.

TB (Light trailer)

A trailer (other than a class TA trailer) that has a gross vehicle mass not exceeding 3.5 tonnes.

TC (Medium trailer)

A trailer that has a gross vehicle mass exceeding 3.5 tonnes but not exceeding 10 tonnes.

TD (Heavy trailer)

A trailer that has a gross vehicle mass exceeding 10 tonnes.

Page amended 10 March 2025 (see amendment details)

4 Complaints

The vehicle distributor must demonstrate that they have procedures for the handling of customer complaints. Complaints that relate directly to the safety of the vehicle must be investigated promptly and fully and the details recorded.

Franchise dealers must maintain an effective complaints management process in accordance with the NZTA Performance review system manual that:

1. recognises the positive value of complaints

2. encourages customers to direct any complaints about vehicle safety to the inspecting organisation in the first instance

3. gives clear and concise instructions to all customers on how to register a complaint

4. includes standards for resolution and the customer's right to appeal to the NZTA if they are dissatisfied with the proposed resolution

5. keeps records of all complaints about vehicle safety

6. acknowledges in writing all written complaints and states a proposed date of resolution

7. retains documentation of an investigation into a complaint

8. provides directions for any customer who wishes to make a complaint or appeal a decision made by an inspecting organisation, to use the NZTA freephone 0800 699 000.

5 Inspection premises and equipment

Any requirements relating to premises and equipment specified by the vehicle manufacturer for pre-delivery inspection for a vehicle model must be available and used as specified.

Requirements for WoF inspections are in VIRM: In-service certification, Introduction section 5.

6 Appointments

Information on applying to be a new light entry vehicle inspector (VI) can be found in the Vehicle Inspection Portal Applications section.

Information on becoming a new light entry vehicle inspector

7 Definitions and abbreviations

Agricultural

in relation to purposes or operations, means connected directly with the operation or management of a farm.

All-terrain vehicle

means a special purpose vehicle, with or without motor cycle controls and equipment, that:

a) is principally designed for off-road use, and

b) has three or more wheels, and

c) has an engine capacity exceeding 50 cc, and

d) has a gross laden weight of less than 1000kg.

Alternative fuel inspection certificate

means evidence of vehicle inspection relating to the periodic in-service inspection and certification of an alternative fuel system.

Alternative fuel installation certificate

means an inspection and certification document relating to the installation of an alternative fuel system.

Alternative fuel system inspection and certification

means inspection and certification of an alternative fuel system comprising either:

a) specialist inspection and certification required for the issuing of an alternative fuel installation certificate;

or

b) in-service inspection and certification required for the issuing of an alternative fuel inspection certificate.

Applicable requirement

means any requirement specified or incorporated in an Act, regulation, code or rule that applies to the design, construction, condition, equipment, modification, repair or maintenance of a specific vehicle. All applicable requirements for in-service inspection and certification are contained in this manual.

Articulated vehicle

means any motor vehicle with a semi-trailer attached so that part of the semi-trailer is superimposed upon the motor vehicle and a substantial part of the semi-trailer and its load is borne by the motor vehicle.

Authority

means the NZ Transport Agency constituted by section 184 of the Land Transport Act 1998.

Certify

means:

a) in relation to a vehicle, or specific aspect of a vehicle, to make a record of determination that confirms that the vehicle inspector or inspecting organisation has determined that the vehicle or specific aspect of the vehicle complies with the requirements in this rule, or

b) in relation to a vehicle’s loading and weight limits, to make a record of a vehicle’s loading and weight limits.

Class

in relation to vehicles means a category of vehicle of one of the Groups A, L, M, N or T, as specified under 3.2 of the Introduction.

Combination vehicle

means a towing vehicle in combination with one or more trailers or other motor vehicle that is being towed.

Compliance label

means an attachment to a vehicle in the form of a label that confirms compliance of the vehicle or a specific aspect of the vehicle with requirements in the Land Transport Rule: Vehicle Standards Compliance 2002.

Compliance plate

means an attachment to a vehicle in the form of a plate that confirms compliance of the vehicle or a specific aspect of the vehicle with requirements in the Land Transport Rule: Vehicle Standards Compliance 2002.

Conditional permit
(or permit)

means an inspection and certification document that confirms that a determination has been made that the vehicle is safe to be operated under specified conditions.

Corrosion damage

means the metal has been eaten away, which is evident by pitting. The outward sign of such corrosion damage is typically displayed by the lifting or bubbling of paint. In extreme cases, the area affected by the corrosion damage will fall out and leave a hole.

De-registered

means that a vehicle’s New Zealand registration has been cancelled.

Determination

means a record, in paper or electronic form, that a vehicle or specific aspect of a vehicle complies or does not comply with requirements in this rule.

Electronic stability control (ESC)

means a system that electronically regulates the stability of a motor vehicle and, as a minimum, has the following attributes:

a) improves vehicle directional stability by at least having the ability to automatically control individually the braking torques of the left and right wheels on each axle, or an axle of each axle group, to induce a correcting yaw moment based on the evaluation of actual vehicle behaviour in comparison with a determination of vehicle behaviour demanded by the driver, and

b)is computer-controlled, with the computer using a closed-loop algorithm to limit vehicle oversteer and to limit vehicle understeer based on the evaluation of actual vehicle behaviour in comparison with a determination of vehicle behaviour demanded by the driver, and

c) has a means to determine directly the value of the vehicle’s yaw rate and to estimate its side slip or side slip derivative with respect to time, and

d)has a means to monitor driver steering inputs.

Enter service

in relation to a vehicle means to begin to be operated in-service on the road in New Zealand for the first time in compliance with registration requirements of the Transport (Vehicle and Driver Registration and Licensing) Act 1986.

Evidence of vehicle inspection

in relation to a vehicle, means any certificate, label, or document issued as evidence of the completion of the periodic vehicle inspection requirements in respect of that vehicle.

Full trailer

means a trailer with two axle sets, the foremost of which is steered by a drawbar, and includes a semi-trailer with non-steering axles coupled to a converter dolly.

Goods vehicle

means a vehicle primarily constructed for the carriage of goods.

Gross vehicle mass

means either:

a) the maximum permitted mass of the vehicle, which includes the mass of the accessories, the crew, the passengers and load, and is, unless (b) applies, the gross vehicle mass specified (subsequent to the latest modification, if any) by the manufacturer of the vehicle, or

b) if a person approved for the purpose by the NZ Transport Agency determines that the gross vehicle mass should differ from that specified by the manufacturer, taking into account evidence on the capability of the systems and components of the vehicle, or the effects of any modification, that mass determined by that person.

Gross weight (or
gross mass)

in relation to a vehicle or combination of vehicles, means the weight of the vehicle or of the vehicles comprising the combination, together with the load the vehicle(s) are for the time being carrying. The gross weight may be determined by adding the weight on the axles or groups of axles.

Heavy vehicle

means a vehicle that is either:

a) of class MD3, MD4, ME, NB, NC, TC or TD, or

b) a vehicle not listed under 3.2 of the Introduction of this manual with a gross vehicle mass that exceeds 3500kg.

Heavy vehicle specialist inspection and certification

means specialist inspection and certification of specific aspects of a heavy vehicle.

Hours of darkness

means:

a) any period of time between half an hour after sunset on one day and half an hour before sunrise on the next day, or

b) any other time when there is not sufficient daylight to render clearly visible a person or vehicle at a distance of 100m.

Inspecting organisation

means a person or organisation appointed by the NZ Transport Agency who is responsible for inspection and certification outcomes.

Inspection and certification

means the performance of two or more of the following, for the purposes of determining compliance with applicable requirements:

a) examining vehicles

b) determining whether or not a vehicle or specific aspect of a vehicle complies with applicable requirements

c) issuing evidence of vehicle inspection, a conditional permit or a certificate of loading

d) recording and making available information about vehicles (including their systems, components, devices, fittings and equipment).

Inspection and certification document

means a document required, produced or issued in the inspection and certification process, including a plate, a label, an electronic record, and a checksheet.

Inspection and certification outcome

in relation to a vehicle means:

a) production of a record of determination as appropriate to the inspection and certification activity, or

b) provision of other records and information about the vehicle to the NZ Transport Agency or other persons, or

c) production of evidence of vehicle inspection, conditional permits or certificates of loading.

KSDPmeans key service delivery partner. They are defined as organisations that are contracted or appointed by the Transport Agency to delivery regulatory products or services and who have sufficient market share and/or are of sufficient size and standing within an industry segment to be able to represent and influence the customer expectation of that industry segment.

Light vehicle

means a vehicle except one defined as a ‘heavy vehicle’.

Low volume vehicle

means a vehicle of a class other than class MD3, MD4, ME, NB, NC, TC or TD, that is:

a) manufactured, assembled or scratch-built in quantities of 500 or less in any one year, and where the construction of the vehicle may directly or indirectly affect the compliance of the vehicle with any of the vehicle standards prescribed by New Zealand law, or

b) modified uniquely, or in quantities of 500 in any one year, in such a way that the compliance of the vehicle, its structure, systems, components or equipment with a legal requirement relating to safety performance applicable at the time of the modification may be affected.

Low Volume Vehicle Code

means the Code of the Low Volume Vehicle Technical Association Incorporated.

Low volume vehicle plate or authority card

means a plate or authority card issued in accordance with the Low Volume Vehicle Code.

Low volume vehicle specialist inspection and certification

means specialist inspection and certification of a light vehicle as specified in the Low Volume Vehicle Code.

Manufacturer’s operating limits

means:

a) in relation to a vehicle, the allowance provided by the vehicle manufacturer in terms of performance capability and dimensions, relative to deterioration, malfunction or damage beyond which the safe performance of the vehicle, as defined by the vehicle manufacturer, is compromised, and

b) in relation to a system, component or item of equipment, incorporated in or attached to a vehicle, the allowance provided by the system, component or equipment manufacturer in terms of performance capability and dimensions, relative to the deterioration, malfunction or damage, beyond which the safe performance of the system, component or item of equipment (and consequently the vehicle) is compromised.

Modify

in relation to a vehicle means to change the vehicle from its original state by altering, substituting, adding or removing any structure, system, component or equipment; but does not include repair.

Motor vehicle

means a vehicle drawn or propelled by mechanical power, and includes a trailer but does not include:

a) a vehicle running on rails

b) an invalid carriage

c) a trailer (other than a trailer designed solely for the carriage of goods) that is designed and used exclusively as part of the armament of the New Zealand Defence Force

d) a trailer running on one wheel and designed exclusively as a speed measuring device or for testing the wear of vehicle tyres

e) a vehicle designed for amusement purposes and used exclusively within a place of recreation, amusement, or entertainment to which the public does not have access with motor vehicles

f) a pedestrian-controlled machine.

New

in relation to a vehicle, means a vehicle that:

a) has not been registered and operated in New Zealand or any other country, and

b) has not been operated on a road in New Zealand or any other country as a demonstration or courtesy vehicle, and

c) has not been used for training or testing purposes, and

d) is not a scratch-built vehicle that contains components that have been fitted to a vehicle that has been operated on the road in New Zealand or in any other country.

NZTA

means the NZ Transport Agency.

OE

means original equipment fitted at the time of manufacture of the vehicle, or a part supplied by the vehicle manufacturer.

Operate

in relation to a vehicle means to drive or use the vehicle on a road, or to cause or permit the vehicle to be on a road or to be driven on a road, whether or not the person is present with the vehicle.

Operation

in service in relation to a vehicle means to be operated on the road in New Zealand after having been registered in compliance with registration requirements.

Passenger vehicle

means a vehicle constructed primarily for the carriage of passengers.

Passenger service vehicle (PSV)

means a vehicle used to carry passengers for hire or reward, or a passenger vehicle with 13 or more seats.

PRS Manual

means the Performance review system manual.

Re-enter service

in relation to a vehicle previously certified for entry into service on the road in New Zealand that has been de-registered, means to begin to be operated in service again.

Rental service vehicle

means a vehicle used or available for use in a rental service for letting on hire for the carriage of passengers or goods, or both, to a person who drives the vehicle or provides a driver for the vehicle.

Repair

means to restore a damaged or worn vehicle, its structure, systems, components or equipment; and includes the replacement of damaged or worn structures, systems, components or equipment with equivalent undamaged or new structures, systems, components or equipment.

Safe tolerance

means the tolerance within which the safe performance of the vehicle, its structure, systems, components or equipment is not compromised, having regard to any manufacturer’s operating limits.

Scratch-built vehicle

means a vehicle that is either:

a) assembled from previously unrelated components and construction materials that have not been predominantly sourced from donors of a single make or model and that, in its completed form, never previously existed as a mass-produced vehicle, although the external appearance may resemble or replicate an existing vehicle, or

b) a modified production vehicle that contains less than the following componentry from a mass-produced vehicle of a single make and model:

i. 40% of the chassis rails and 50% of the crossmembers, or alternatively 40% of a spaceframe, or 40% of the floorpan of a unitary constructed body, whichever is appropriate, and

ii. for light vehicles, 40% of the bodywork (based on surface area of body panels but not including the floorpan, internal bracing, sub-panels, bulkheads or firewall).

Specialist inspection and certification

means inspection and certification of a specific aspect of a vehicle.

Trailer

means vehicle without motive power that is constructed for the purpose of being drawn behind a motor vehicle.

TRC

means the Transport Registry Centre of the NZ Trasnport Agency.

Used light vehicle

means a light vehicle, including a light vehicle that has been used for the purpose of demonstration in connection with the sale of a similar vehicle, that has, at any time before being offered or displayed for sale:

a) been registered under:

(i) the Transport Act 1962, or

(ii) the Transport (Vehicle and Driver Registration and Licensing) Act 1986, or

(iii) any corresponding legislation in any other country, or

b) been used for a purpose not connected with its manufacture or sale.

Vehicle identification number (VIN)

means a group of letters and numbers consisting of 17 characters that:

a) is affixed to a vehicle in accordance with the relevant standard prescribed under the Traffic Regulations 1976, and

b) is capable of being decoded to provide identifying information about that vehicle.

Vehicle inspector

means a person appointed by the NZ Transport Agency to carry out inspection and certification activities in accordance with requirements and conditions imposed by the NZ Transport Agency.

Vehicle recovery service vehicle

means a vehicle used or available for use in a vehicle recovery service for towing or carrying on a road any motor vehicle.

Warrant of fitness (WoF)

means evidence of vehicle inspection issued to a vehicle listed under 3.3 of the Introduction.

Warrant of fitness inspection and certification

means periodic in-service inspection and certification of a vehicle listed under 3.3 of the Introduction.

Page amended 1 July 2015 (see amendment details).

8 Sample certification documents

Figure 8-1-1. Sample vehicle compliance certificate (LT4085N)

  • The LT4085 is used for vehicles that are certified by a Transport Agency-approved inspecting organisation rather than the manufacturer’s representative.

Figure 8-1-2. Sample ADR plates

Figure 8-1-3. Sample FMVSS plates

Figure 8-1-4. Sample ECE plates

Figure 8-1-5. Sample statement of compliance

Figure 8-1-6. Sample LVV statement of compliance (F001)

Figure 8-1-7. LVV certification plates

Figure 8-1-8. Motorsport authority card

Figure 8-1-9. New Zealand Hot Rod Association authority card

Figure 8-1-10. Sample Light Vehicle Repair Record of Certification (LT308)

Figure 8-1-1. Sample vehicle compliance certificate (LT4085N) 

 

Figure 8-1-2. Sample ADR plates

Figure 8-1-3. Sample FMVSS plates

Figure 8-1-4. Sample ECE plates

Figure 8-1-5. Sample statement of compliance

Statement of compliance (PDF)

Version: September 2025

A Statement of compliance is a statement from an authorised representative of a vehicle's manufacturer listing the standards to which the vehicle was certified when it was made. If these standards are approved vehicle standards, as listed in New Zealand Rules and Regulations, the Statement of compliance is acceptable proof that the vehicle meets the required standards.

Figure 8-1-6. Sample LVV statement of compliance (F001)
Figure 8-1-7. LVV certification plates
Figure 8-1-8. Motorsport authority card

Figure 8-1-9. New Zealand Hot Rod Association authority card

Figure 8-1-10. Sample Light Vehicle Repair Record of Certification (LT308)

1 Vehicle identification

1-1 Vehicle Identification

Reasons for rejection

Mandatory requirements

1. A vehicle first registered in New Zealand from 1 April 1994 does not have a valid VIN (Note 1) (Note 3)

Note 1

A vehicle without a VIN must be referred to a VIN issuing agent (VTNZ, VINZ, NZAA) to have a VIN attached. A valid VIN consists of 17 characters that never contain the letters I, O or Q, and that is capable of being decoded to provide identifying information about the vehicle.

Note 2

Land Transport Rule: Vehicle Standards Compliance 2002 specify the legal requirements for vehicle identification numbers (VINs)

Note 3

Recording a VIN correction

When a stamped or etched VIN has been corrected, details of the correction must be recorded in the vehicle notes. This is to prevent suspicion arising when the VIN is inspected at a later date. If a VIN plate has been removed and a new one attached in such a way that there is no sign of the correction, this step is not required.

The minimum details to be recorded are the number of characters in the VIN that were corrected and the positions of these characters. Email frr@nzta.govt.nz to update LANDATA notes for the vehicle.

Correcting a stamped VIN

A maximum of three stamping errors can be corrected by crossing out the individual letters or digits, and by stamping the correct letter or digit just above or below the crossed errors.

A hash character (#) must be used to cross out incorrect letters or digits. If a hash character is not available, an ‘X’ or a dollar sign ($) may be used.

Example:

As an alternative, all letters and digits may be machined out and the entire VIN stamped again.

If there are more than three stamping errors, all letters and digits must be crossed out and the entire VIN must be stamped again, just above or below the original incorrect VIN.

Example:

Summary of legislation

Applicable legislation
Mandatory requirements

1. A vehicle first registered in New Zealand from 1 April 1994 must have a VIN.

2. A vehicle inspector or inspecting organisation must identify a vehicle before it is certified.

Page amended 29 April 2020 (see amendment details).

2 Standards compliance

2-1 Standards Compliance

Summary of legislation
Applicable legislation
Compliance with approved standards

1. A vehicle of group L or class MA, MB, MC, MD1 or NA must comply with approved standards as specified in Tables of vehicle class standards requirements and Lists of approved standards.

Reasons for rejection
Compliance with approved standards

1. A vehicle of group L or class MA, MB, MC, MD1 or NA did not comply, or cannot be demonstrated to have complied, with approved standards as specified in Tables of vehicle class standards requirements and Lists of approved standards.

Note 1

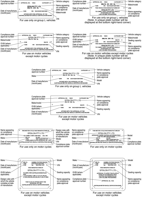
The following standards markings may assist in determining compliance with approved standards.

Note 2

The following flowchart may assist in determining whether a vehicle is required to comply with an approved frontal impact standard.

FIS flowchart

Vehicle noise emissions

Vehicle noise emissions must meet one of these standards and not exceed the maximum noise limits in Table 2-1-5.

Fuel consumption, test cycle, CO2 and battery efficiency information

For a vehicle where fuel consumption, CO2 and battery information is required for entry certification by the Land Transport Rule: Vehicle Efficiency and Emissions Data 2022, this data must be entered using MIAMI.

The original homologation values for the documented test cycle should be supplied. Conversions and mapping to supply ‘normalised’ values as required by the Rule will be done by MIAMI.  This is mandatory where the fuel type is petrol, diesel, LPG, CNG, petrol hybrid or diesel hybrid and the vehicle class is MA, MB, MC, MD1, MD2 and NA and the vehicle has a gross vehicle mass of not more than 3,500kg.

List of approved standards

Door retention systems

Door retention systems must meet one of these standards (or a more recent version):

  • Council Directive 70/387/EEC of 26 July 1971 on the approximation of the laws of the Member States relating to the doors of motor vehicles and their trailers
  • UN/ECE Regulation No. 11, Uniform provisions concerning the approval of vehicles with regard to door latches and door retention components
    (E/ECE324-E/ECE/TRANS/505/Add.10)
  • Federal Motor Vehicle Safety Standard No. 206, Door Locks and Door Retention Components – Passenger Cars, Multipurpose Passenger Vehicles, and Trucks
  • Australian Design Rule 2, Side Door Latches and Hinges
  • Technical Standard for Door Retention Systems (Japan).
  • Japan article 25.
Interior impact systems

Interior impact systems must meet these two standards (or more recent versions):

  • Council Directive of 17 December 1973 on the approximation of the laws of the Member States relating to the interior fittings of motor vehicles (interior parts of the passenger compartment other than the interior rear-view mirrors, layout of controls, the roof or sliding roof, the backrest and rear part of the seats) (74/60/EEC)
  • Council Directive of 1 March 1971 on the approximation of the laws of the Member States relating to the rear-view mirrors of motor vehicles (71/127/EEC)

OR this standard (or a more recent version):

  • UN/ECE Regulation No. 21, Uniform provisions concerning the approval of vehicles with regard to their interior fittings
    (E/ECE324-E/ECE/TRANS/505/Rev.1/Add.20)

OR this standard (or a more recent version):

  • Federal Motor Vehicle Safety Standard No. 201, Occupant Protection in Interior Impact – Passenger Cars

OR these three standards (or more recent versions):

  • Australian Design Rule 11, Internal Sun Visors
  • Australian Design Rule 21, Instrument Panel
  • Australian Design Rule 42, General Safety Requirements (section on external or internal protrusions)

OR these four standards (or more recent versions):

  • Technical Standard for Instrument Panel Impact Absorption (Japan)
  • Technical Standard for Sunvisor Impact Absorption and Interpretation of the Technical Standard for Sunvisor Impact Absorption (Japan)
  • Technical Standard for Seatback Impact Absorption (Japan)
  • Technical Standard for Impact Reduction of Inside Rearview Mirrors (Japan).
  • Japan article 20.

Note: A motor vehicle doesn’t have to comply with these standards for the interior fittings if the vehicle complies with a version of one of the approved frontal impact vehicle standards, whether or not that vehicle is required by that rule to so comply.

Frontal impact systems

Frontal impact systems must meet one of these standards (or a more recent version):

  • UN/ECE Regulation No. 94, Uniform provisions concerning the approval of vehicles with regard to the protection of the occupants in the event of a frontal collision
    (E/ECE/324-E/ECE/TRANS/505/Rev.1/Add.93)
  • Federal Motor Vehicle Safety Standard No. 208, Occupant Crash Protection in Passenger Cars, Multipurpose Passenger Vehicles, Trucks and Buses
  • Australian Design Rule 69, Full Frontal Impact Occupant Protection
  • Australian Design Rule 73, Offset Frontal Impact Protection
  • Technical Standard for Occupant Protection in Frontal Collision (Japan)
  • Japan article 18
  • Technical requirements of: Directive 96/79/EC* of the European Parliament and of the Council of 16 December 1996 on the protection of occupants of motor vehicles in the event of a frontal impact [which, for the purpose of occupant protection in the event of a frontal impact, amends the Council Directive of 6 February 1970 on the approximation of the laws of the Member States relating to the type-approval of motor vehicles and their trailers (70/156/EEC)]
Light-vehicle brakes

Light-vehicle brakes must meet one of these standards (or a more recent version):

  • Council Directive of 26 July 1971 on the approximation of the laws of the Member States relating to the braking devices of certain categories of motor vehicles and of their trailers (71/320/EEC)
  • Council Directive of 5 April 1993 on the braking of two- or three-wheel motor vehicles (93/14/EEC)
  • UN/ECE Regulation No. 13, Uniform provisions concerning the approval of vehicles of categories M, N and O with regard to braking
    (E/ECE324-E/ECE/TRANS/505/Rev.1/Add.12)
  • UN/ECE Regulation No. 13-H, Uniform provisions concerning the approval of passenger cars with regard to braking
    (E/ECE324-E/ECE/TRANS/505/Rev.2/Add.12H)
  • UN/ECE Regulation No. 78, Uniform provisions concerning the approval of vehicles of category L with regard to braking
    (E/ECE/324-E/ECE/TRANS/505/Rev.1/Add.77)
  • Federal Motor Vehicle Safety Standard No. 105, Hydraulic Brake Systems
  • Federal Motor Vehicle Safety Standard No. 122, Motorcycle Brake Systems
  • Federal Motor Vehicle Safety Standard No. 135, Passenger Car Brake Systems
  • Australian Design Rule 31, Hydraulic Brake Systems for Passenger Cars
  • Australian Design Rule 33, Brake Systems for Motorcycles and Mopeds
  • Australian Design Rule 33/01, Brake Systems for Motorcycles and Mopeds
  • Australian Design Rule 35, Commercial Vehicle Brake Systems
  • Technical Standard for Passenger Motor Vehicle Braking Systems (Japan)
  • Technical Standard for Two Wheeled Vehicle Brake Systems (Japan)
  • Japan article 12.
Tyres

New tyres must meet one of these standards (or a more recent version):

  • Council Directive 91/23/EEC of 31 March 1992 relating to tyres for motor vehicles and their trailers and to their fitting
  • UN/ECE Regulation No. 30, Uniform provisions concerning the approval of pneumatic tyres for motor vehicles and their trailers
    (E/ECE324-E/ECE/TRANS/505/Rev.1/Add.29)
  • UN/ECE Regulation No. 54, Uniform provisions concerning the approval of pneumatic tyres for commercial vehicles and their trailers
    (E/ECE324-E/ECE/TRANS/505/Rev.1/Add.53)
  • Federal Motor Vehicle Safety Standard No. 109, New Pneumatic Tires – Passenger Cars
  • Federal Motor Vehicle Safety Standard No. 119, New Pneumatic Tires for Vehicles Other Than Passenger Cars
  • The Standards of the Japan Automobile Tire Manufacturers’ Association, Inc.
  • Japan Industrial Standard D4230, Tires for Automobiles
  • Japan article 9
  • Australian Design Rule 23, Passenger Car Tyres
  • Australian Design Rule 71, Temporary-Use Spare Tyres
  • Australian Design Rule 42/05, Temporary-Use Spare Tyres.
Seats and seat anchorages

Seats and seat anchorages must meet one of these standards (or a more recent version):

  • UN/ECE Regulation No. 17, Uniform provisions concerning the approval of vehicles with regard to the seats, their anchorages and any head restraints (E/ECE324-E/ECE/TRANS/505/Rev.1/Add.16)
  • Council Directive of 22 July 1974 on the approximation of the laws of the Member States relating to the interior fittings of motor vehicles (strength of seats and their anchorages)
    (74/408/EEC)
  • Federal Motor Vehicle Safety Standard No. 207, Seating Systems – Passenger Cars, Multipurpose Passenger Vehicles, Trucks, and Buses
  • Technical Standard for Seats and Seat Anchorages (Japan)
  • Japan article 22
  • Australian Design Rule 3/02, Seats and Seat Anchorages.
Head restraints (if fitted)

If they are fitted, head restraints must meet one of these standards (or a more recent version):

  • Council Directive of 16 October 1978 on the approximation of the laws of the Member States relating to head restraints of seats of motor vehicles (78/932/EEC)
  • Council Directive of 22 July 1974 on the approximation of the laws of the Member States relating to the interior fittings of motor vehicles (strength of seats and their anchorages) as amended by Commission Directive 96/37/EC of 17 June 1996 (74/408/EEC)
  • UN/ECE Regulation No. 17, Uniform provisions concerning the approval of vehicles with regard to the seats, their anchorages and any head restraints (E/ECE324-E/ECE/TRANS/505/Rev.1/Add.16)
  • UN/ECE Regulation No. 25, Uniform provisions concerning the approval of head restraints (headrests), whether or not incorporated in vehicle seats
    (E/ECE324-E/ECE/TRANS/505/Rev.1/Add.24)
  • Federal Motor Vehicle Safety Standard No. 202, Head Restraints – Passenger Cars
  • Australian Design Rule 22, Head Restraints
  • Technical Standard for Head Restraints (Japan)
  • Japan article 22-4.
External projections

Must meet one of these standards (or a more recent version):

  • Council Directive of 17 September 1974 on the approximation of the laws of the Member States relating to the external projections of motor vehicles (74/483/EEC)
  • Council Directive 92/114/EEC of 17 December 1992 relating to the external projections forward of the cab's rear panel of motor vehicles of category N
  • UN/ECE Regulation No. 26, Uniform provisions concerning the approval of vehicles with regard to their external projections
    (E/ECE324-E/ECE/TRANS/505/Rev.1/Add.25)
  • UN/ECE Regulation No. 61, Uniform provisions concerning the approval of commercial vehicles with regard to their external projections forward of the cab’s rear panel
    (E/ECE324-E/ECE/TRANS/505/Rev.1/Add.60)
  • Australian Design Rule 42, General Safety Requirements (section on external and internal protrusions)
  • Australian Design Rule 92, Vehicle Standard (Australian Design Rule 92/00 – External Projections) 2018
  • Technical Standard for Impact Reduction of Outside Rearview Mirrors (Japan) AND, if spoiler fitted, Structural Standard for Air Spoilers (Japan)
  • Japan article 18.
Steering systems

Must meet these two standards (or more recent versions):

  • Council Directive of 4 June 1974 on the approximation of the laws of the Member States relating to the interior fittings of motor vehicles (the behaviour of the steering mechanism in the event of an impact) (74/297/EEC)
  • Council Directive of 8 June 1970 on the approximation of the laws of the Member States relating to the steering equipment for motor vehicles and their trailers (70/311/EEC)

OR these two standards (or more recent versions):

  • UN/ECE Regulation No. 12, Uniform provisions concerning the approval of vehicles with regard to the protection of the driver against the steering mechanism in the event of impact
    (E/ECE324-E/ECE/TRANS/505/Add.11)
  • UN/ECE Regulation No. 79, Uniform provisions concerning the approval of vehicles with regard to steering equipment
    (E/ECE324-E/ECE/TRANS/505/Rev.1/Add.78)

OR these two standards (or more recent versions):

  • Federal Motor Vehicle Safety Standard No. 203, Impact Protection for the Driver from the Steering Control System – Passenger Cars
  • Federal Motor Vehicle Safety Standard No 204, Steering Control Rearward Displacement – Passenger Cars, Multipurpose Passenger Vehicles, Trucks and Buses

OR this standard (or a more recent version):

  • Australian Design Rule 10, Steering Column

OR this standard (or a more recent version):

  • Technical Standard for Steering System Impact (Japan)
  • Japan article 11.

Note: A motor vehicle need not comply with these standards for the steering systems if the vehicle complies with a version of one of the approved frontal impact vehicle standards, whether or not that vehicle is required by that rule to so comply.

Glazing

Glazing must meet one of these standards (or a more recent version):

  • UN/ECE Regulation No. 43, Uniform provisions concerning the approval of safety glazing and glazing materials
    (E/ECE324-E/ECE/TRANS/505/Rev.1/Add.42)
  • Council Directive of 31 March 1992 on safety glazing and glazing materials on motor vehicles and their trailers (92/22/EEC)
  • British Standard 857: 1967, Specification for Safety Glass for Land Transport
  • British Standard 5282: 1975, Specification for Road Vehicle Safety Glass
  • British Standard AU 178a: 1992, Specification for Road Vehicle Safety Glass
  • Federal Motor Vehicle Safety Standard No. 205, Glazing Materials
  • American National Standard for Safety Glazing Materials for Glazing Motor Vehicles and Motor Vehicle Equipment Operating on Land Highways – Safety Code (ANSI/SAE Z26.1-1990)
  • Technical Standard for Window Glass, Jisha Circular No. 899 of 1 October 1983
  • Japanese Industrial Standard R 3211–1992, Safety Glass for Road Vehicles
  • Japan article 29
  • New Zealand Standard 5443:1987, Safety Glass for Land Vehicles
  • Australian Standard 2080–1983, Safety Glass for Land Vehicles
  • Australian/New Zealand Standard 2080:1995, Safety Glass for Land Vehicles
  • Australian Design Rule 8/00, Safety Glazing Material
  • South African Standard SABS 1191/1193–1978, Standard Specifications for Safety Glass for Vehicles
  • Allgemeine Bauartgenehmigung (ABG), issued by the German Kraftfahrt-Bundesamt for glazing directly behind, or to the left or right of the rear of, the driver’s seatback in its rearmost and upright position that is marked in accordance with the ABG
Rear-view mirrors

Rear-view mirrors must meet one of these standards (or a more recent version):

  • Regulation No. 46, Uniform provisions concerning the approval of rear-view mirrors, and of motor vehicles with regard to the installation of rear-view mirrors
    (E/ECE324-E/ECE/TRANS/505/Rev.1/Add.45)
  • Council Directive of 1 March 1971 on the approximation of the laws of the Member States relating to the rear-view mirrors of motor vehicles (71/127/EEC)
  • Federal Motor Vehicle Safety Standard No. 111, Rearview Mirrors
  • Technical Standard for Installation Position of Outside Rear-view Mirrors, Jisha Circular No. 187 of March 18, 1983
  • Installation Position of Outside Rear-View Mirrors, Jisha Circular No. 186 of March 18, 1983
  • Japan article 44
  • Australian Design Rule 14/00, Rear Vision Mirrors.
Lighting

All lighting and signalling components must meet one of the standards listed in Table 2-1-6.

All installations of lighting and signalling equipment must meet one of the standards listed in Table 2-1-7.

Seatbelts

Seatbelts must meet one of these standards (or a more recent version):

  • Council Directive 77/541/EEC of 28 June 1977 on the approximation of the laws of the Member States relating to safety belts and restraint systems on motor vehicles
  • UN/ECE Regulation No. 16, Uniform provisions concerning the approval of safety belts and restraint systems for adult occupants of power-driven vehicles
    (E/ECE324-E/ECE/TRANS/505/Rev.1/Add.15)
  • Federal Motor Vehicle Safety Standard No. 209, Seat Belt Assemblies
  • Australian Design Rule 4, Seat Belts
  • Technical Standard for Seat Belt Assemblies (Japan)
  • Japanese Industrial Standard D 4604-1988, Seat Belts for Automobiles
  • Japan article 22-3
  • New Zealand Standard 5401:1982, Specification for Seat Belt Assemblies for Motor Vehicles
  • New Zealand Standard 1662:1969, Specification for Seat Belt Assemblies for Motor Vehicles
  • Australian Standard/New Zealand Standard 2596:1995, Seat Belt Assemblies for Motor Vehicles
  • Australian Standard E35.1:1970, Seat Belt Assemblies for Motor Vehicles
  • Australian Standard E35.2:1970, Seat Belt Assemblies (Including Retractors) for Motor Vehicles
  • South African Bureau of Standards 1080-1983, Standard Specification for Restraining Devices (Safety Belts) for Occupants of Adult Build in Motor Vehicles (Revised Requirements)
  • British Standard AU 160c: 1971, Specification for Seat Belt Assemblies for Motor Vehicles.
Seatbelt anchorages

Note An original equipment seatbelt anchorage is an anchorage that was installed by the vehicle manufacturer at the time the vehicle was manufactured, and was fitted with a seatbelt by the vehicle manufacturer at the time the vehicle was manufactured.

A retrofitted seatbelt anchorage includes a seatbelt anchorage that was installed by the vehicle manufacturer at the time the vehicle was manufactured but that was not fitted with a seatbelt at that time.

Seatbelt anchorages must meet one of these standards (or a more recent version):

  • Council Directive 76/115/EEC of 18 December 1975 on the approximation of the laws of the Member States relating to anchorages for motor vehicle safety belts
  • UN/ECE Regulation No. 14, Uniform provisions concerning the approval of vehicles with regard to safety belt anchorages
    (E/ECE324-E/ECE/TRANS/505/Rev.1/Add.13)
  • Federal Motor Vehicle Safety Standard No. 210, Seat Belt Assembly Anchorages – Passenger Cars, Multipurpose Passenger Vehicles, Trucks and Buses
  • Australian Design Rule 5, Anchorages for Seat Belts and Child Restraints
  • Technical Standard for Seat Belt Anchorages (Japan)
  • Japan article 22-3.
Child restraints

Child restraints must meet one or more of these standards (or a more recent version) and be labelled or otherwise marked in accordance with the requirements of the applicable standard(s):

  • Australian Standard/New Zealand Standard 1754 Child Restraint Systems for Use in Motor Vehicles
  • British Standard 3254 for adult seat belts, forward-facing child safety seats and child harnesses
  • British Standard AU185 for booster cushions
  • British Standard AU202, Specification for Rearward-Facing Restraint Systems for Infants, for Use in Road Vehicles
  • UN/ECE Regulation No. 44, Uniform provisions concerning the approval of restraining devices for child occupants of power-driven vehicles (‘Child Restraint System’)
    (E/ECE324-E/ECE/TRANS/505/Add.43)
  • Federal Motor Vehicle Safety Standard No. 213, Child Restraint Systems
  • Technical Standard for Child Restraints (Japan)
  • Japan article 22-5.
Table 2-1-1. Glossary of codes for safety glass

L

=

laminated glass

LF

=

laminated float

LP

=

laminated plate

// or ///

=

laminated when near the mark

L.76WHP

=

laminated, 0.76mm interlayer, suitable for all locations

AS1

=

laminated for use anywhere in the vehicle

A S or A S

=

the glass in the direction of the arrow complies with the 70% light transmission requirement

Table 2-1-2. Glossary of codes for laminated glass

L

=

laminated glass

F

=

float glass

P

=

plate glass

LF

=

laminated float

LP

=

laminated plate

/

=

toughened, when near the mark

// or ///

=

laminated, when near the mark

TS

=

toughened glass

TP

=

toughened plate

T

=

toughened or tempered

Z

=

zone tempered

WHP

=

complies with impact test

DOT

=

Department of Transport (USA)

A S or A S

=

the glass, in the direction of the arrow, complies with the 70% light transmission requirement

ANSI

=

American National Standards Institute

FVMSS codes

AS1

=

for use anywhere in the vehicle

AS2

=

for use anywhere in the vehicle other than windscreen

AS3

=

for rear and rear side windows only

AS4 and AS5

=

plastic glazing not suitable for driver’s vision

Glazing cut from mother sheet

L.76WHP

=

laminated, 0.76mm interlayer, suitable for all locations

L.38

=

laminated, 0.38mm interlayer, must not be used for windscreens

PCZ26.1

=

polycarbonate, meets requirements of ANSI Z26, must not be used for windscreens

Table 2-1-3 Applicable exhaust emission standards for new vehicles – class MA, MB, MC, MD1, MD2, NA
Date of manufactureFuel typeExisting or new model vehicles
(Note 4)
Approved vehicle emissions standards
Before 30 April 2024Petrol, CNG/LPGExisting or newEuro 5; or
US 2007; or
Japan 05; or
ADR 79/04
Diesel
30 April 2024 to 30 June 2027Petrol, CNG/LPGExisting or newEuro 5; or
US Tier 2; or
Japan 2005 Low Harm; or
Japan 2018; or
ADR 79/04
DieselExisting or newEuro 5; or
US Tier 2; or
Japan 09; or
ADR 79/04
1 July 2027 to 30 June 2028Petrol, CNG/LPGExistingEuro 5; or
US Tier 2; or
Japan 2005 Low Harm; or
Japan 2018; or
ADR 79/04
NewEuro 6d; or
US Tier 3; or
Japan 2018 Low Harm; or
UNR83/08
DieselExistingEuro 5; or
US Tier 2; or
Japan 09; or
ADR 79/04
NewEuro 6d; or
US Tier 3; or
Japan 2018; or
UNR83/08
From 1 July 2028Petrol, CNG/LPGExisting or newEuro 6d; or
US Tier 3; or
Japan 2018 Low Harm; or
UNR83/08
DieselExisting or newEuro 6d; or
US Tier 3; or
Japan 2018; or
UNR83/08
Abbreviations used in Table 2-1-3

ADR 30/01 means Australian Design Rule 30/01, Diesel Engine Exhaust Smoke Emissions.

ADR 79/02 means Australian Design Rule 79/02, Emission Control for Light Vehicles.

ADR 79/03 means Australian Design Rule 79/03, Emission Control for Light Vehicles.

ADR 79/04 means Australian Design Rule 79/04, Emission Control for Light Vehicles.

ADR 80/02 means Australian Design Rule 80/02, Emission Control for Heavy Vehicles.

ADR 80/03 means Australian Design Rule 80/03, Emission Control for Heavy Vehicles

Euro 4:

a) means:

i. UN/ECE Regulation No. 83, uniform provisions concerning the approval of vehicles with regard to the emission of pollutants according to engine fuel requirements (E/ECE/324E/ECE/TRANS/505/Rev.1/Add.82/Rev.2) incorporating the 05 series of amendments, as per the limit values in row B of the table to clause 5.3.1.4, or

ii. Council Directive 70/220/EEC as amended by Council Directive 98/69/EC as per the limit values in row B of the table to clause 5.3.1.4 of Annex I of 98/69/EC, or

iii. UN/ECE Regulation No. 49 – uniform provisions concerning the approval of compression-ignition (CI) and natural gas (NG) engines as well as positive-ignition (PI) engines fuelled with liquid petroleum gas (LPG) and vehicles equipped with CI and NG engines and PI engines fuelled with LPG, with regard to the emissions of pollutants by the engine (E/ECE/324E/ECE/TRANS/ 505/Rev.1/Add. 48/Rev.3/Amend.1) incorporating the 03 series of amendments, as per the limit values in row B1 or C of Table 1 and/or 2 (as appropriate), in section 5.2.1, or

iv. Council Directive 88/77/EEC of 3 December 1987 on the approximation of the laws of the Member States relating to measures to be taken against emission of gaseous pollutant from diesel engines for use vehicles, as amended by Council Directive 1999/96/ EC as per l

3 Pre-delivery inspection

3-1 Pre-delivery inspection

Reasons for rejection

Mandatory requirements

1. A vehicle has not passed a pre-delivery inspection required by the vehicle manufacturer.

Summary of legislation

Applicable legislation
Mandatory requirements

1. A vehicle is currently within safe tolerance of its state when manufactured or modified.

4 Warrant of Fitness inspection

4-1 Warrant of Fitness inspection

Reasons for rejection

Mandatory requirements

1. A vehicle has been inspected according to the VIRM: In-service certification and has one or more reasons for rejection.

Summary of legislation

Applicable legislation
Mandatory requirements

1. A vehicle is currently within safe tolerance of its state when manufactured or modified.

Technical bulletins

News and updates

1 New light vehicle compliance - allowable modifications

The modifications detailed in this bulletin do not require low volume vehicle certification and can be carried out prior to a warrant of fitness being issued.

Fitting or modification to:

Modification allowed provided that:

Isolation shields (to separate vehicle occupants for the purpose of medical isolation) (Note 13)

The shield:

  • is constructed from a transparent flexible thin film (minimum 80% VLT), and
  • does not interfere with the driver’s vision (including through the front side windows, and rear-view mirrors), and
  • does not interfere with the operation of airbags, and
  • does not interfere with the driver’s ability to reach vehicle controls (including lights, warning devices, etc.)
  • is fastened to the vehicle using flexible/breakaway fixings that are unlikely to injure a vehicle occupant, and
  • can be quickly and easily removed to allow for emergency access or exit of the vehicle.
    (Note: the partition/shield should be able to be removed, or broken, with a reasonable push or strike to allow both the driver and passenger/s to use an alternative exit in the event of an emergency.)

Bull bars and nudge bars

The bars are frontal impact compliant (FIC), display a FIC tag, and the fitting of the bars does not weaken the vehicle structure.

Blocks for leaf springs to adjust their ride height (up or down)

  • the leaf spring suspension has not been raised by any other means, and
  • the leaf spring blocks are:
    • securely fitted, and
    • constructed from metal, and
    • designed for the purpose, and
    • firmly seated over not less than the O.E. seat area, and
    • not more than 50mm in height, and
    • located using the same method as original (assessment of location method is only required where visible without dismantling).
Body kits and components (including running boards, plastic bumper skins, side skirts, rear spoiler, front air dam, mud flaps, bonnet projections, utility flat decks, utility tray bodies, utility canopies/tray liners/tonneau covers)
  • the fitting system does not weaken the vehicle structure (Note 6), and
  • no frontal impact components have been removed where the vehicle is required to comply with a frontal impact occupant protection standard
  • the kit or components do not present any external projections that could cause injury, to the occupants or pedestrians, or present a snagging risk, and
  • the performance of any lamps is not affected as a result of the fitting of the kit or components, and
  • the drivers vision has not been affected.

Wheels

The wheels:

  • are of a known and reputable brand, and
  • would be considered an appropriate fitment for the vehicle type by the wheel manufacturer, and
  • are not modified, and
  • do not have spacers or adaptors fitted, and
  • have a load rating acceptable for the axle rating (or vehicle GVM where axle rating is not available).

Note: Spare wheel is often OE and can be used for comparison.

Tyres

  • the tyres:
    • have an outer circumference that is no more than 5% greater than OE, and
    • are an appropriate selection for rim width (see the LVVTA's Tyre size to wheel size compatibility guide, and
    • have a load rating suitable for the axle (or vehicle where axle mass is not available)
    • have a speed rating suitable for the vehicle
  • the tyre tread does not protrude beyond:
    • in the case of a vehicle that is not a class NA or class MC vehicle, the unmodified original body panels or factory fitted mudguard extension/flare; or
    • in the case of an class NA or class MC vehicle, 25mm outside of the unmodified original body panels, provided that a flare or wheel arch extension covers the full width of the tyre tread.

Tow bars

The fitting of the tow bar does not weaken the vehicle structure.

Springs and shock absorbers (including modification of ride height)

  • the springs or shock absorbers are direct replacements, and
  • replacement springs are contained within unmodified OE seats throughout full suspension travel (Note 7), and
  • replacement springs are self-retaining in their seats at full extension, without the use of non-standard devices such as wire-ties, straps, or external spring locators, and
  • replacement springs have not been heated or cut, and
  • springs and spring seats are not height adjustable by any means (unless OE) (Note 8), and
  • replacement shock absorbers, including air-adjustable units, fit unmodified OE mountings (Note 7), and
  • suspension maintains sufficient travel for safe operation (Note 9), and
  • suspension components maintain sufficient clearance from unmodified bump stops when fully laden (Note 10), and
  • Suspension retains at least 40mm of rebound (droop) wheel travel (Note 11), and
  • a minimum of 100mm ground clearance (unladen and without driver) exists below any part of the vehicle structure, or any steering, braking or suspension component (Note 12) and
  • the normal relationship between front and rear suspension height is not unduly affected, and
  • clearance is maintained between all components, when tested from lock to lock at full droop

Overlays (Note 1)

See below for overlays on windscreens, front side windows, rear and rear side windows, and sun roofs

Overlays do not:

  • have any bubbling or other defect that could unreasonably impair vision, or
  • have a mirrored effect that is sufficient to dazzle other road users, or
  • affect the performance of any high-mounted stop lamp fitted to the vehicle.

Windscreens (Note 1)

Stickers (Note 1)

Stickers are wholly within 100mm of the top or bottom edge, or 50mm of the side edges, unless required or permitted by legislation, eg:

  • a licence label
  • a road user licence label
  • a WoF label
  • an alternative fuel sticker.

Anti-glare band overlay (Note 1)

The overlay:

  • is transparent, and
  • does not extend below the bottom edge of the vehicle’s OE sun visors when they are folded down as far as possible towards the windscreen, and
  • does not contain print below a line that is 100mm below and parallel to the top edge of the windscreen.

Clear or transparent stone guard overlay (Note 1)

  • The vehicle is not of class MA or MC, and
  • the overlay is applied only to the bottom edge of the windscreen, and
  • the top edge of the overlay does not extend any higher than the highest point of the steering wheel.

Radio antennae

Antennae are wholly within 100mm of any edge.

Front side windows

Transparent overlays (Note 1)

The overall visible light transmittance (VLT) is not reduced to below 35%.

Stickers

Stickers are wholly within 100mm of the bottom edge, or 50mm of any other edge, unless required or permitted by legislation.

Radio antennae

Antennae are wholly within 100mm of any edge.

Rear and rear side windows (behind the driver’s seat) – class MA vehicles except stretch limousines and body transfer vehicles:

Transparent overlays (Note 1)

  • The overall visible light transmittance (VLT) is not reduced to below 35%, and
  • the vehicle is equipped on both sides with external rear-view mirrors.

Stickers

The stickers are wholly within 100mm of any edge, unless required or permitted by legislation.

Radio antennae

Antennae are wholly within 100mm of any edge.

Rear and rear side windows (behind the driver’s seat) – any vehicle class except MA, but including stretch limousines and body transfer vehicles:

Overlays and other modifications

The vehicle is equipped on both sides with external rear-view mirrors.

Stickers

Stickers may be applied anywhere on the glazing but, if not wholly within 100mm of any edge, the vehicle must be equipped on both sides with external rear-view mirrors.

Radio antennae

In-service requirements for condition and performance are met.

Note 1 Definitions

Windscreen means all glazing extending across the front of a vehicle that is not parallel to the vehicle’s longitudinal centreline, but does not include a wind deflector. No fitting or overlays of stickers are permitted to the windscreen except those previously mentioned.

Laminated glass means glazing consisting of two or more pieces of sheet glass, plate glass or float glass bonded together by one or more intervening layers of plastic material.

Overlay means a transparent, translucent or opaque self-adhesive or clinging film that is applied to large areas, or the whole, of a piece of glazing, including anti-glare band overlays, stone guard overlays.

Anti-glare band overlay means a tinted overlay that is transparent and that is applied along the top edge of the windscreen for the purpose of reducing glare from the sun.

Stone guard overlay means a clear overlay that is transparent and that is applied along the bottom edge of the windscreen for the purpose of preventing damage to the windscreen from stones and other debris thrown up by other vehicles.

Sticker means a self-adhesive or clinging film, with or without print on it, that is applied for purposes such as, but not limited to, advertising, identification, information, or for aesthetic or legal reasons.

Note 3

Visible light transmittance (VLT) is the proportion of visible light that passes through glazing, measured perpendicular to the glazing. Overall VLT is the VLT of the glazing together with any overlays.

Note 4

Any OE opaque edging (usually black) is not considered part of the windscreen when determining the boundaries of the CVA, or the areas permitted for stickers, print on an anti-glare band, or radio antennae.

Note 5

Perforated overlays are usually made from printed-on materials. They are therefore not transparent and may be fitted only where stickers are allowed.

Note 6

Heating, drilling, welding or cutting the vehicle structure, modifying a roof bow, or modifying any part of the structure anchorage would be considered to weaken the structure. Cutting a single layer of unstressed panel of sheet metal (ie roof) is not considered to weaken the vehicle structure. Drilling a hole suitable for a child restraint top tether does not require LVV certification

Note 8

The only other allowable methods of adjusting vehicle ride height without LVV certification are leaf spring blocks (as per below requirements) or adjustment of OE equipment (torsion bars or OE adjustable air suspension).

Note 9

When determining if there is sufficient travel remaining, consider a case where the vehicle is laden and in use.

Note 10

Sufficient clearance must be maintained from the travel-limiting bump stop (not an OE spring aid). The spring aid and/or bump stop must not be modified. A spring aid is a low-density conformable material that is fitted inside a coil spring or above a leaf spring by a vehicle manufacturer to assist the spring and acts as the bump stop only once it is fully compressed. The spring aid may be contacted at any loading condition to increase the vehicle’s spring rate, but the vehicle must retain sufficient wheel travel as per Note 9. A bump stop is a small high-density rubber bumper that is designed to stop vehicle suspension or driveline components from coming into contact with the vehicle structure at the extremes of its suspension travel and is not designed to carry the load of the vehicle for sustained periods of time.

Note 11

Rebound wheel travel should be measured as the difference between the distance from the top of the tyre and the wheel arch with the vehicle resting on the ground and the top of the tyre to the wheel arch with the vehicle lifted so that its tyres are clear of the ground (suspension hanging in full rebound). This difference must be greater than 40mm.

Note 12

Does not include such items as exhaust pipes and exterior body panels that do not contribute to the structural strength of the vehicle.

Note 13

The NZ Transport Agency makes no representations about the effectiveness of these installations, whether they are required, or whether they are sufficient for the purposes of meeting health and safety or other requirements. It takes no responsibility for the installation and use of isolation shields.

Page amended 29 April 2020 (see amendment details).